基于铂电阻的温度传感器设计

📅 发布时间:2013-10-11 05:15 👁️ 浏览:6 🏷️ 标签: 铂电阻 温度 传感器设计

1.     简介
   温度是过程检测与控制中的重要参量,在要求对温度进行精确测量和控制的条件下,铂热电阻是一种应用广泛的温度传感器,它具有体积小、准确度高、测温范围宽、稳定性好、正的温度系数等特点,但它同时也存在非线性的缺点,因此在利用铂热电阻进行精确温度测量时,除要克服测量电路自身的噪声干扰外,还要对铂热电阻的非线性进行矫正. 本文根据铂电阻( Pt100) 国际分度表函数的非线性特点,提出了一种在0~650 ℃范围内补偿其非线性的方法,设计了专用的非线性补偿电路,在对电路补偿原理及效果进行理论分析和计算机模拟仿真的基础上,实际制作了该非线性补偿电路,并进行了现场测试.

2.     铂电阻Pt100 的非线性特点及补偿思路
  按照国际电工委员会的铂热电阻技术标准,铂电阻PT100在0~650℃范围内的符台ITS-90的国际分度表函数Rt,可用下式表示:
  Rt=R0(11+At-Bt2)    (1)
其中:Rt,R0分别是t℃和0℃时的铂电阻阻值,R0=100Ω,A=3.90802×10-3-1;B=5.80195×10-1-1。该分度函数的特点是覆盖温度范围宽精度高,以广泛使用的分度值(以10℃为间隔)来作比较,可以看出,在0~650℃范围内二阶拟合值;实际标称阻值的最大绝对误差为0.0049Ω,平均绝对误差为0.0026Ω,这时的最大相对误差仅为1.487×10-6,因此该二阶拟合函数完全可以满足高精度测量的要求,但由于函数中存在非线性项Bt2,因此随着温度的升高,铂电阻的非线性越来越严重,如图1所示。非线性项系数小于零,说明电阻的变化率随着温度的升高而下降,要消除铂电阻非线性对测量输出的影响,就需要设法补偿在不同温度点时由于电阻的变化率下降而导致测量输出信号减小或增加的部分下。下面以恒流源激励,电压信号输出测量为例,来说明本文的补偿思想。
    设用恒流源I0来激励铂电阻,通过测量铂电阻两端的电压来实现温度测量,则在t℃时铂电阻两端的输出电压为:
Vt=I0Rt=IoR0(1+At-Bt2)       (2)
如果没有非线性项Bt2存在,输出的电压应为:
V't=I0Rt=I0R0(1+At)           (3)
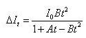
可见由于非线性项Bt2存在,使得实际的输出与线性输出相比小了I0R0Bt2,这时我们自然想到可以通过增加激励电流来增加电压输出以抵消它,假定在t℃时让激励电流增加△It,这样输出电压将增加:
△Vt=△ItRt=△ItR0(1+At-Bt2)            (4)
令△Vt=IoR0Bt2,得到:
   (5)
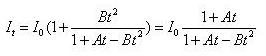
因此从理论上看,只要使通过热电阻的激励电流按
    (6)
取值,则可以消除输出电压与温度之间的非线性,但由于t是未知的待测参量,所以电路实现时只能通过动态反馈的方式来实时调整通过热电阻的激励电流。

3.     PT100线性化调理电路设计
   根据上述补偿思想,设计的补偿电路如图11所示,通过动态调整流过Pt100的电流来实现电压输出非线性的补偿,同时考虑到热电阻的安装需要较长的导线,因此设计的电路也兼顾引线补偿功能,下面对本电路的工作原理给以分析说明。
 
设电路中各节点与支路上的电学参量如图11所示,对运算放大器U1有:
V1=V-I2R2,V2=V-I4R4,V3=1/2V1,V2=V3
由此得到:
V=2I4R4-I2R2          (7)
根据电流关系和虚短原理有:
I=I2+I4,I4=0              (8)[!--empirenews.page--]
对于热电阻的三线制连接引线电阻有
R2=R3=R4=r     (9)
将式(8)、(9)代入式(7)得:
V=-Ir   (10)
即图11中右边电路的等效电路为:-r,对输出电压有:
Vo=V+I(R3+Rt)               (11)
将式(9)、(10)、代入式(11)得:
Vo=IRt
从而补偿了导线上的压降,对于运放U2有
Vo=V5=V6-I1R1,V5=1/2V6
由此得到: I1=Vo/R1
将式(12)代入上式得:I1=IRt/R1
设外部激励电流I2为(电路中取Ij=200uA),将上式和支路电流关系I=I1+Ij代入式12得
Vo=IRt=(I1+Ij)Rt=IRt2/R1+IjRt
由此得到:I=IjR1/(R1-Rt)
电路中就是通过该式来近似实现式(6)的要求,需要特别说明的,本式中的Ij与式(6)中I0的意义是不同的,式(6)中I0代表参考温度下流过热电阻的电流,而式(16)中的Ij是恒流源的输出电流,在图11所示电路中,任何温度下流过热电阻的电流都不等同于Ij,因此并不能简单地将式(6)和式(16)做相等比较,这时热电阻输出电压为:

觉得这篇文章有帮助吗?