电容传感器新型微弱电容测量电路

📅 发布时间:2013-10-11 05:00 👁️ 浏览:13 🏷️ 标签: 电容传感器 弱电 测量电路

1 引言
 电容传感器广泛的应用于多种检测系统中, 用以测量诸如液位、压力、位移、加速度等物理量。在某些场合, 例如电容层析成像系统中, 传感电容的变化量小至fF级, 这就对电容测量电路提出了更高的要求。在现阶段测量飞法级的电容主要有以下几方面的困难:
①杂散电容往往要比被测电容高的多, 被测量常被淹没在干扰信号中;
②测量电路一般要使用一定量的电子开关, 但电子开关的电荷注入效应对测量系统的影响难以消除;
③由于测量对象的快速多变性, 需要较高的数据采集速度, 但采集速度和降低噪声的矛盾难以解决, 滤波器存在成为提高数据采集速度的瓶颈等问题。
    目前, 用于解决测量微弱电容的方法主要有电荷转移法和交流法。这两种电路的基本测量原理是通过激励信号连续对被测电容进行充放电, 形成与被测电容成比例的电流或电压信号, 从而测量出被测电容值。但是由于连续充放电测量信号中具有脉动噪声, 需要先进行滤波除去其中的脉动成分, 但滤波器的引入却成为提高数据采集速度的一个瓶颈。
    另外, 电荷转移法是利用电子开关网络控制电路的充放电, 电了开关的电荷注入效应对测量结果的影响还难以完全消除; 交流法需要考虑相位补偿, 电路结构相对复杂, 成本也较高。
    本文针对以上问题, 提出并设计了一种基于电荷放大原理的电容测量电路, 一方面该电路对被测电容只进行一次充放电, 即可完成对电容的测量, 由于测量结果是直流稳定信号, 不存在脉动成分, 故电路中无需滤波器, 因此大大提高了基于该电路的数据采集系统的数据采集速度。另一方面该电路较好的解决了电子开关的电荷注入效应的对测量精度的影响问题, 使电路达到了较高的分辨率; 对微弱电容数据采集提供了一种新的思路和方法。

2 新型电路测量原理
 图1 示出了基于电荷放大原理提出的新型微弱电容测量电路的原理图。
 
 图中, Cx 为被测电容, 它的左侧极板为激励电极, 右侧极板为检测电极。Cas和Cbs表示每个电极所有杂散电容的等效电容, Cas由激励源驱动, 它的存在对流过被测电容的电流无影响。电容Cbs在检测过程中始终处于虚地状态, Cbs的两端无电压差, 因而它也对电容测量无影响, 因而整个电路对杂散电容的存在不敏感, 即该电路具有较强的抗杂散电容的性能。
    由于测量的是飞法级的微弱电容, 要求电路具有很高的分辨率。影响该电路分辨率的主要因素是电子开关的电荷注入效应。图2 示出了CMOS 开关电荷注入效应的原理图。栅极—漏极与栅极—源极间的寄生电容用虚线表示。电荷注入效应的影响主要是在电子开关关断时, 有不期望的电荷注入电路所引起, 这种影响引入的误差远大于要测量的飞法级电容值; 另一方面在电子开关关断后, 开关的输出电容Co也会引入误差。一般认为电荷注入效应的机制主要有两方面, 一方面是由于沟道电荷造成, 在关断时这些沟道电荷分别从漏极和源极流出, 流入测量电路。另一方面是由栅极与漏、源极间的寄生电容存储的电荷释放流入测量电路造成的。
 
图2 开关的电荷注入效应示意图
    本文对各开关的控制时序进行了合理的设计,用以解决电子开关的电荷注入效应。各开关的控制信号的时序图如图3 所示。首先考虑当S3 断开时的情况, 由于电荷注入效应, 电荷将分别从源极与漏极两个节点流出。流向运放输出节点的部分电荷产生的影响很小, 仅引起输出波形瞬时微小失真。然而,流向运放反相端的部分电荷将引起运放输出的较大变化, 对测量结果产生不良的影响, 该电路利用差动式设计较好的解决了这部分影响问题。
 
图3 开关时序图
    再考虑开关S1 与S2 的电荷注入效应, 使用如图3 示的时序图, 即如果S2 的关断时间晚于S3, S1晚于S2 的话, 则它们基本对输出不产生影响。假设S3 已经断开, 当S2 断开时, 它的电荷注入效应引起V1 很小的波形失真, 随之S1 关闭, 尽管有S2 的电荷注入, 但是V1 仍将被置成Vin。因此, 电容C 左极板上的电压不受S2 的电荷注入的影响, 由此施加在C上的电压也不受S2 的电荷注入的影响。S1 的电荷注入不产生影响, 原因很简单, 当它断开时本次数据采集已经结束。总之, 通过首先断开S3, 使电路只受S3 的电荷注入效应影响, 而不受其它开关的电荷注入效应的影响。而后面电路的差动设计会消除S3 的影响。[!--empirenews.page--]
    由此得到电路的工作原理如下: Vin为充放电的激励电压源。运放U1, 电容Cf 和开关S3 构成电荷放大器, 开关S4 和S5 及运放U2 和U3 构成两个采样保持器(S/H ) ,U4 为仪表放大器。电路的工作过程分为两步, 如图4 所示。
 
图4 不同时刻的波形图
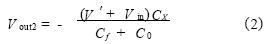
    第一步为测量开关S3 的电荷注入效应。在电路开始工作之前,Vin电压为高, 开关S3 闭合, 两个采样保持器都处于采样模式。由于S3 闭合,U1 输出为0 V。在t1 时刻S3 断开, 在理想情况下, V3 将仍然为0 V , 但由于S3 的电荷注入效应, 有电荷被注入电路。这将导致V3 被拉低至VL。在t2 时刻,U1 的输出稳定并且U3 的输出Vout1等于VL , S5 断开使采样保持器进入保持模式。假设S3 的电荷注入效应相当于输入电压引起, 同时假设S3 的输出电容对电路的影响为C0, 则Vout1可表示如下:
 
    第二步测量由激励引起的输出的变化。开关S2 断开, 开关S1 关闭施加直流电压激励Vin , 右侧极板感应出电荷与S3 的电荷注入效应引入的电荷叠加, 导致U1 的输出上升, 在t4 时刻输出稳定Vout2等于V3,S4 断开使采样保持器进入保持模式, 则Vout2可表示为:
 

觉得这篇文章有帮助吗?