
当环境亮度明显变暗时,LX1970能自动开启LCD的背光源,使白色LED发光。亮度自动控制电路如图所示。利用电阻R1和R2可设定控制亮度的最小值与最大值。改变电容器C的容量可调整响应时间并能滤除50Hz电网干扰。LX1970采用 3.3~ 5V电源。仅用SRC端时,SNK端应悬空。假定需用0.25~1.25V的输出电压来驱动白光LED,0.25V就代表LED的亮度最小值,1.25V则代表亮度最大值。
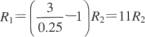
设计电路时应首先确定R1与R2的比例关系,公式为:

然后根据LX1970在给定亮度下的输出电流最大值(ISRCmax)来计算R2值。假定ISRCmax=50μA,用下式可求出R2值:
计算出R2=25kΩ,得到R1=275kΩ。